(经2020年12月10日学院分教学委员会、党政联席会讨论决定)
根据工程教育认证及学校有关文件要求,现制定自动化学院面向产出的毕业要求达成度评价办法,以评价学院学生毕业要求达成的情况,促进专业建设的持续改进,提高人才培养质量。特制定本办法。
一、评价对象及周期
(1)评价对象:应届毕业生。
(2)评价周期:每学年开展一次。
二、评价机构
毕业要求达成情况评价在学院分教学委员会主导下实施,参与评价的人员主要是专业教师,参与评价的主体是学院分教学委员会,如表 1 所示:
表1 毕业要求达成情况工作职责和责任机构
| 工作职责 | 责任机构 |
| 制定毕业要求达成情况评价办法 | 学院分教学委员会 |
| 毕业要求观测点分解 | 专业负责人、系主任 |
| 毕业要求观测点分解的合理性审查 | 学院分教学委员会 |
| 确定各毕业要求观测点对应的课程及其权重 | 专业负责人、系主任 |
| 撰写毕业要求达成情况报告 | 专业负责人、系主任 |
| 审核毕业要求达成情况评价报告 | 学院分教学委员会 |
三、评价方法
毕业达成情况的评价方法采用定量与定性相结合的评价方法。定量评价主要以课程目标达成度评价结果为依据,数据来源于课程目标达成度量化评价值;定性评价主要以学生的自我评价为主要依据,数据来源于调查问卷。
1、课程对毕业要求达成度的评价方法
课程对毕业要求达成度评价是以参加该课程学习的所有学生所获得的该课程成绩为主,对与之对应的各毕业要求指标点进行达成度评价。对于每门课程,根据“课程考核方式与课程目标对应表”中明确的毕业要求指标点的各评价依据,以成绩中该指标点各评价依据的平均得分作为该指标点达成的评价值。
课程目标支撑的毕业要求达成度计算方法:
第一步:根据下式计算毕业要求观测点的达成度:
Bn-m=Σ(Ai*λi)
其中Bn-m为毕业要求n的第m个观测点的达成度,Ai为课程i对相应毕业要求指标点的量化评价值,λi为该课程支撑对应毕业要求观测点的权重值。
第二步:根据最小值法,以该毕业要求具有最低达成度的观测点为该毕业要求的达成度。
2、间接评价
间接评价主要包括应届毕业生的自我评价和教师评价;专业可以根据本专业毕业要求各观测点设计能力评价类的问题,通过在任课教师、毕业生中开展问卷调查法获得评价结果,统计出毕业生的能力达成情况。
通过向受访者发放问卷调查进行毕业要求达成度评价。
①样本来源:全体应届毕业生、任课教师;
②设计评分表,根据毕业要求进行打分(5分制);
③汇总评价结果,将1-5档对应计算值1-5分,计算出各分项的评价结果;
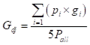
④对于每项毕业要求,最终分数取各分项的最低分,得到每项毕业要求的评价结果,计算毕业要求的达成度,毕业要求的达成度通过下式计算:

其中,
为第i档的人数,
为第i档的分值(5-完全达成、4-达成、3-基本达成、2-基本不达成、1-完全不达成),
为所有有效问卷数,
为通过调查问卷获得的第j个毕业要求达成度。
四、毕业要求达成情况的评价结果分析及运用
(1)专业负责人对毕业要求达成情况、指标点达成情况和课程目标达成情况进行系统、全面分析,将分析结果反馈给课程负责人,并报送学院分教学委员会。
(2) 针对毕业要求达成评价结果,专业负责人要分析达成情况较弱的各指标点,分析原因,提出整改措施,并在专业培养方案修订和相应教学环节中予以落实。
(3)学院根据评价结果和整改方案,开展课程质量监控,协调多方资源,使评价结果能够促进教学质量的提高。
本办法自公布之日起实行。
本办法由学院分教学委员会负责解释。